Hội chứng buồng trứng đa nang (Polycystic ovary syndrome - PCOS) liên quan đến các rối loạn chuyển hóa và nội tiết thường gặp ở phụ nữ trong độ tuổi sinh sản. PCOS được đặc trưng bởi rối loạn kinh nguyệt, cường androgen và hình ảnh buồng trứng đa nang trên siêu âm. Rối loạn chuyển hóa gặp phải trong trường hợp này có thể làm giảm hàm lượng glucose trong thành phần dịch nang. Sự tăng insulin máu và hàm lượng glucose thấp trong các tế bào nang noãn có thể là do trở ngại trong quá trình vận chuyển glucose và những biến đổi của con đường chuyển hóa năng lượng. Hơn nữa, sự thay đổi thành phần acid béo dịch nang đã dẫn đến sự kém phát triển về mặt hình thái của phức hợp tế bào hạt-noãn (COC). Từ những gợi ý trên, vấn đề đặt ra là liệu hội chứng buồng trứng đa nang có tác động vào biểu hiện gen của nang noãn, gây mất đồng bộ giữa quá trình trưởng thành tế bào chất và trưởng thành nhân của noãn hay không.
Hiện nay, việc đánh giá phôi dựa trên đặc điểm hình thái (Time-lapse) đã trở thành tiêu chuẩn để dự đoán tiềm năng phát triển của phôi. Hệ thống theo dõi phôi liên tục được áp dụng trong các đơn vị hỗ trợ sinh sản, cung cấp chi tiết hình thái của phôi trong suốt quá trình nuôi cấy. Không những vậy, Time-lapse còn giúp kiểm soát được sự bất thường của quá trình phân chia. Từ đó, chúng ta có thể xác định các bất thường về hình thái và động học của phôi trong quá trình thụ tinh ống nghiệm mà không phải đưa phôi ra ngoài tủ cấy.
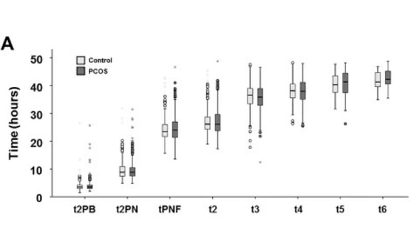
Năm 2019, Trung tâm Nội tiết sinh sản và vô sinh, Bệnh viện Đại học Y Dược Huế (HueCREI) đã thực hiện một nghiên cứu tiến cứu nhằm đánh giá quá trình thụ tinh và phát triển phôi sớm từ bệnh nhân có hội chứng buồng trứng đa nang thông qua hệ thống theo dõi phôi liên tục. Nghiên cứu tiến hành so sánh giữa 2 nhóm: nhóm bệnh nhân mắc PCOS và nhóm chứng không mắc PCOS có chức năng buồng trứng bình thường. Kết quả nghiên cứu cho thấy: số lượng noãn bào thu được sau chọc hút và số lượng noãn ở kì giữa giảm phân II trong mỗi chu kỳ của bệnh nhân PCOS cao hơn đáng kể so với nhóm không có PCOS (lần lượt là 18,85 ± 9,41 so với 11,48 ± 5,51 và 14,97 ± 7,43 so với 9,51 ± 4,7). Tuy nhiên, tỷ lệ nang noãn trưởng thành và hình thái phôi không có sự khác biệt giữa 2 nhóm này. Sau 48 giờ nuôi cấy, hầu hết các phôi ở cả hai nhóm đều đạt đến giai đoạn 4 tế bào (lần lượt là 353/449 so với 314/402 phôi).
Sự khác biệt không có ý nghĩa về thời điểm của các sự kiện liên tiếp trong quá trình phát triển phôi sớm từ khi xuất hiện hai thể cực đến giai đoạn 6 tế bào giữa nhóm chứng và nhóm PCOS. Tuy nhiên, nhóm PCOS có tỷ lệ phần trăm phôi đạt 2 tế bào vào khoảng thời gian tối ưu thấp hơn có ý nghĩa so với nhóm chứng (lần lượt là 37,8% so với 48,1%, P = 0,004). Tỷ lệ phôi biểu hiện khả năng sinh sản bất thường, đa nhân, phân bào trực tiếp và phân bào ngược cũng không có sự khác biệt có ý nghĩa giữa hai nhóm.
Như vậy, dữ liệu từ nghiên cứu đã chỉ ra rằng PCOS không ảnh hưởng đến động học hình thái hay tỷ lệ bất thường trong quá trình phát triển phôi sớm.
.png)
.png)
%20Bi%E1%BB%83u%20%C4%91%E1%BB%93%20m%C3%B4%20t%E1%BA%A3%20m%E1%BB%91c%20th%E1%BB%9Di%20gian%20di%E1%BB%85n%20ra%20c%C3%A1c%20s.png)
CÁC THÔNG TIN CÙNG CHỦ ĐỀ



